转子流量计示值误差测量值的不确定度评定
本文介绍了转子流量计测量值不确定度的分析计算, 给出检测值的相对扩展不确定度。
1 概述
1.1 测量依据
JJG257-1994《转子流量计检定规程》。
1.2 测量标准
罩子式气体流量标准装置。
1.3 被测对象
气体转子流量计, 测量范围 (0.16~1.6) m/h, 2.5级。
1.4 测量方法
利用钟罩式气体流量标准装置对转子流量计进行测量。有两种方法分别为排气法和进气法, 我们采用的排气法。气体从装置中经过流量计排出, 测量排出气体的体积、排出的时间以及装置内和流量计前面的气体压力和温度, 计算出流量计在刻度状态下的实际流量;

式中:pN, ps, ps—分别为标准状态下、装置内和流量计前的气体压力;
Ts, Tm—分别为装置内和流量计前的气体热力学温度;
TN—为20℃标准状态下气体热力学温度, T=293.15K。
流量计误差用引用误差表示:

2 测量模型

式中:E—示值误差, %;
qvm—流量计的刻度流量, m/h;
qvs—流量计在刻度状态下的实际流量, m/h;
qvmax—流量计的上刻度流量, m/h。
三各输入量的标准不确定度评定
2.1 输入量的标准不确定度u (qvm) 的评定
输入量qvm的不确定度主要是由对转子流量计进行重复性测量引入的, 采用A类方法进行评定。在0.8m/h (50%***大流量) 点处做10次重复性测量, 得到数据列 (m/h) :0.81, 0.82, 0.81, 0.81, 0.82, 0.81, 0.81, 0.81, 0.80, 0.80。
则其单次实验标准差为:

实际测量时, 在重复性条件下连续测量3次, 以3次测量算术平均值为测量结果, 因此

2.2 输入量qvs引入的标准不确定度u (qvs) 的评定
输入量qvs不确定度主要由流量标准装置 (钟罩) 、计时器的不确定度以及大气压、钟罩内压力温度、流量计表前压力、流量计前温度的测量引入的 (B类) 。
(1) 流量标准装置 (钟罩) 引入的不确定度u (V) 的评定
钟罩标准装置由上一级检测部门检定, 检定证书给出其符合0.5级技术要求, k=2, 则标准装置引入的不确定度:ui (V) =2=0.25%。
(2) 计时器引入的不确定度u (t) 的评定
计时器采用电子秒表, 其检定证书给出***大允许误差为±0.02%矩形分布
, 则计时器引入的不确定度:

(3) 测量大气压力pN引入不确定度u (pN) 的评定。
大气压力是利用大气压力计进行测量的, 大气压力计由上级检定部门检定符合0.05级, 矩形分布
, 则测量大气压力计引入的不确定度:

(4) 测量钟罩内气体压力рs引入的不确定度u (ps) 的评定
钟罩内气体压力测量采用U形管压力计, 检定证书给出符合1.0级技术要求, 矩形分布
, 则其引入的不确定度:

(5) 测量流量计表前压力pm引入不确定度u (pm) 的评定
pm的测量采用的是U形管压力计测量其符合1.0级技术要求, 矩形分布
, 则其引入的不确定度:

(6) 测量钟罩内温度TS引入的不确定度u (TS) 的评定
TS采用二等水银温度计进行测量, 上级检定证书给出Us=0.17%矩形分布
则:

(7) 测量流量计前温度Tm引入的不确定度u (Tm) 的评定
Tm采用温度传感器进行测量, 上级检定证书给出其符合0.5级技术要求, 矩形分布
, 则:

(8) 输入量qvs引入的标准不确定度u (qvs) 的计算
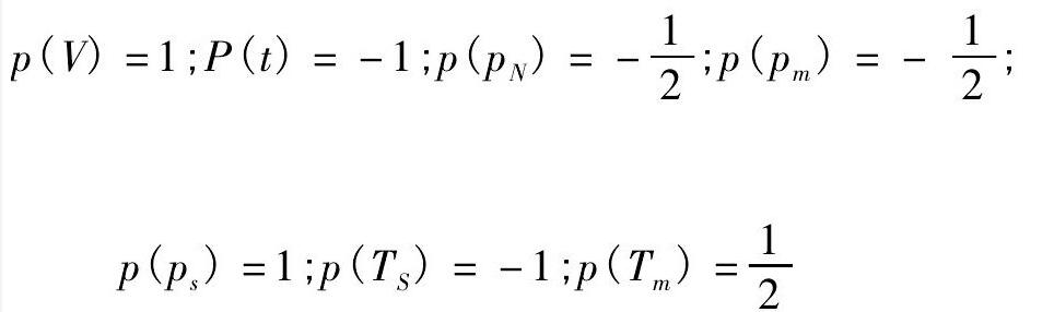
输入量qvs的各影响量均不相关, p是各影响量的指数, 分别为:


测量点为0.8m/h:则输入量qvs引入的标准不确定度为:qvs=0.72%×0.8m/h=0.576×10m/h
2.3 合成标准不确定度
(1) 灵敏系数

(2) 标准不确定度一览表 (见表1)
表1 下载原表

(3) 合成标准不确定度

2.4 扩展不确定度的评定
取k=2, 则扩展不确定度

2.6 测量不确定度报告
气体转子流量计在0.8m/h流量点示值误差测量结果的开展不确定度为:Uyel=0.9%, k=2。
