摘要:孔板流量计在煤矿瓦斯抽采计量中有广泛应用,但在多个煤矿并未得到正确的使用。为解决因人为或技术原因导致孔板流量计在使用中存在的问题,通过对孔板流量计在选型、安装、计算及维护各环节存在的问题予以分析,明确了正确的使用要求。引导使用者正确使用,促进孔板流量计在瓦斯抽采计量中得以准确计量。
瓦斯抽采准确计量是瓦斯抽采达标评价的前提。由于抽采环境极端恶劣,高尘、高湿、高负压,多数瓦斯流量传感器使用中存在种种问题,常常需要进行现场比对,而孔板流量计是***传统的现场比对基准。通过煤矿瓦斯抽采检测计量仪器的技术应用及研究,在流量传感器应用过程中,发现孔板流量计因其结构简单、性能稳定、操作方便,在煤矿瓦斯抽采检测计量领域得以普遍应用,应用其他检测流量的传感器时还常常以孔板测量结果作为基准[1]。在煤矿瓦斯抽采计量领域,煤矿普遍选择标准孔板作为瓦斯抽采流量的计量手段,目前多依靠人工定期观测“U”型差压计的差压水柱高度、用光学瓦检仪检测瓦斯浓度、用“U”型差压计的差压水银柱高度测量负压、用气压表测量当地大气压、通过公式人工计算管道瓦斯标况流量。但多个用户因种种原因,并不能正确使用华云孔板流量计测量瓦斯流量,致使测量结果误差特别大,无法与其他测量方式对比,根本不能作为检测结果计量瓦斯流量。常见问题有孔板选型、孔板制造、孔板安装位置选取和安装不符合要求、孔板计算等4类[4]。
1孔板在选型中的问题
常见孔板流量计的量程比为1∶3~1∶4。在此之间的流量值测量准确性相对高。低于测量下限孔板自身误差和人工读取误差加大,高于测量上限,孔板自身误差加大,同时流体流过孔板的压力损失随流体的速度平方急剧增大,导致抽采效率降低,能耗加大。人工孔板的理想水柱高差为10~100mm。孔板生产商常常通过调整孔板开孔比控制水柱高差范围。用户在选择孔板时,如果不清楚选型原则,将导致要么在孔板的测量下限,要么在孔板测量上限,严重影响计量准确度。因此选择孔板需要根据检测的流量大小设计合适的水柱差压范围。煤矿瓦斯抽采水柱差压一般靠人工观测,常以mm为分度值,即肉眼能分辨的刻度线为毫米。由于瓦斯抽采流量是随时波动的,加之玻璃管内水柱液面为凹面,所以水柱高差顶多能估读到小数点后1位。因此5mm以下的水柱高差应避免作为计量依据。
事实上,多个煤矿用户因选型不当,或实际瓦斯抽采量比预期小得多时,孔板水柱高差在0~1mm,甚至在0.2mm以下,观测工直接把水柱高差计作1mm。导致误差特别大。在其他参数相同前提下,0.5mm水柱高被读作1mm水柱高的误差,经计算约大实际值41.4%,即:
2孔板制造误差造成的误差
标准孔板制造尺寸及公差有相应的标准。煤矿一般选择的标准孔板由制造商提供。实际上部分制造商在加工孔板时认为孔板简单,煤矿用户也不具备检验和试验条件,常常尺寸和形位公差控制不严格,也不具备标定条件,尺寸超差严重,进口处倒角误差较大,也能通过验收,导致制造造成孔板误差。
3孔板安装位置选择造成的误差
标准孔板安装有一定的要求:
1)直管段要求,按计算书计算出安装孔板时要求的前后直管段长度,通常为前20D后10D(D是指孔板的通径)安装节流装置[9-10]。
2)直流件装置在管道中,其前端面必需与管道轴线垂直,允许的***大不垂直度不得超越±1°。
3)节流件装置在管道中后,其开孔必需与管道同心,其允许的***大不同心度ε不得超越:ε≤0.015D(1/β-1)。
4)垫片不能用太厚的材料,***好不超过0.5mm,垫片不能突出管壁内,否则会引起很大的测量误差。
5)调节流量用的阀门,应装在节流件前后***小直管段长度以外。
现场孔板常常因位置狭小,造成前后水平直管段长度满足不了前20D后10D的要求,阀门的位置距离孔板也不满足要求。由于井下管道安装条件差,直流件、节流件及垫片使用误差会超过要求。导致孔板测量误差加大。安装方式及要求如图1。
实际工作中,由于人工孔板监测靠人工每隔一段时间读数1次,把每次计算出的数据作为这个时间段的平均流量,而实际瓦斯抽采过程中抽采参数随时存在波动,1个瞬时流量代表1个波动流量,毕竟存在较大误差;多个煤矿逐步使用在线流量传感器连续监测计量瓦斯抽采参数;考虑到在线流量传感器也也需要周期校准,一般仍保留人工孔板流量计做周期比对用。常见有以下2种安装方式(图2、图3)。
比较2种布置方式,可以分析出后者存在一定的问题:
1)2种流量检测方式做对比时必须先做其中1个,后做另外1个,无法做到同步。
2)气流经过的路径不同,沿程和局部阻力损失不一样,造成同样的抽采条件,经过2种流量计的流量大小不同。
3)做孔板计量时,只能关闭在线流量传感器前端的阀门,在线流量传感器监测流量为0,且持续1个孔板对比时间,造成抽采量计量损失。
4)需要开闭至少上下2个阀门,增加了现场人员的工作量。而前者即串联式布置,不存在上述问题,因此串联布置方式。
4孔板计算
孔板计算在煤矿瓦斯抽采检测领域一直有多个方法,但基本归结2大类:
1)MT/T642—1996管道瓦斯抽放综合参数测定仪技术条件规定了瓦斯抽采标准状况混合流量计量计算公式为:
式中:QH为管道混合气体流量,m3/min;Kk为孔板系数,Pa-0.5m3/min;△hk为孔板前后端压差,Pa;δx为瓦斯浓度校正系数;δp为压力校正系数;δT为温度校正系数;x为混合气体中瓦斯浓度,%;pJ为管道内气体压力,Pa;t为气体温度,℃。
式中:Qc为标况纯流量。这是业内通用的计算公式。
2)在很多煤矿用户,常常使用该公式的简易公式计算混合流量,如下:
采用该公式,如果用于测量常压下通风管路,误差倒不太大。但是用在瓦斯抽采的负压侧,计算出的流量值与实际标况流量值偏差将很大。
5案例
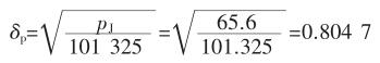
案例:某矿地面泵站使用孔板流量计,孔板水柱差压为225mmH2O(1mmH2O=9.8Pa),管道负压为-28.4kPa,浓度23%,温度18℃;当地大气压为94kPa,管道为DN600,孔板系数为10.6176。试计算标况混合流量和纯流量?
计算过程如下:
1)绝压。
Pj=当地大气压-管道负压=94-28.4=65.6kPa
2)压力修正系数。
3)浓度修正系数。
4)温度修正系数。
5)标况混合流量。
6)标况纯流量。
如按照简易公式计算得到的流量值:
与标况流量的误差为:
以下将压力、浓度及温度在流量计算中不修正引起的流量误差做一汇总(表 1)。
因此,对于瓦斯抽采用人工孔板计量比对,标况流量计算必须考虑压力、浓度、温度的修正系数。作为在线计量的各种流量传感器,一般要求流量误差不大于±3%F.S.。如不对孔板按照标准公式计算,其偏差将动辄在 10%以上,将失去对比意义。
6 人工对比常见问题
煤矿瓦斯抽采计量常常需要对比多种仪器的测量值,以掌握传感器的运行稳定性和准确性。由于瓦斯抽采工况的波动性,对比工作应遵循同点同时的原则,即应将 2 种以上传感器安装在相近位置,同时进行取样和对比,才能得到较真实的对比结果。
由于孔板流量计算涉及到压力和浓度修正,因此应准确测量瓦斯的浓度和压力。测量瓦斯浓度常见的问题有:
1)管道内浓度低于 10%,却选择高浓度光学瓦斯鉴定器测量,造成测量量程误差。
2)高负压状态应用抽气筒多次抽取气样,却用常压下使用的橡胶吸气球取气,造成取样误差。
3)差压较小时,用水银柱而不是用水柱测量差压,造成误差。
4)估计而非测量当地大气压,计算管道气体绝压时形成误差。
7 孔板维护中存在的问题
孔板处于完好状态是孔板准确计量的前提。但现场维护经常存在以下几个问题:
1)孔板系数因管理不善被记错误用。
2)由于瓦斯抽采管道尘大、水大,孔板前端常积水、积尘、积存大量杂物,使得孔板系数严重失真。
3)孔板一旦安装,大部分会在井下长期使用。
孔板在瓦斯中尘粒及碎煤屑的长期高速冲刷之下,孔板内孔前缘的锐角将会被打磨成圆角,孔板表面的粗糙度将会变大,将会造成孔板系数显著变化。但用户做不到定期在实验室里重新核定孔板系数。常用进厂时孔板厂家华云仪表提供的原始孔板系数进行计算。上述情况造成孔板计量流量误差加大。
1 孔板差压流量计工作原理
标准节流孔板是测量流量的差压发生的节流装置,配合各种差压计或变送器可测量各种流体的流量。节流孔板流量计节流装置包括环室节流孔板,喷嘴等,结构见图1。节流孔板流量计节流元件与变送器配合使用可测量液体、蒸汽、气体的流量,孔板流量计在电力石油冶金化工、轻工等部门使用。工艺管道内装有一个孔板节流装置,管道内径要远大于孔板的孔径,被测介质经过孔板节流装置时通道突然缩小,即流束变小,流速变快,介质在孔板后的静压降低,在孔板上、下游两侧产生静压力差(差压)。

图1 标准节流孔板结构
2 标准孔板流量计的简单分析和安装注意事项
孔板流量计它较为直观易维护等特点,在企业生产的一般过程控制中测流量的仪表会选择孔板流量计。差压式流量计是根据流动连续性原理和伯努利方程可以推导出差压与流量之间的关系而求得流量。差压与流量的平方成正比。流体在管道中通过孔板流量计产生压差,孔板流量计测流量根据质量流量,体积流量,流量系数,流束膨胀系数,孔板开孔截面积,孔板前后压差,介质密度等之间的关系计算出来的。
2.1 和其他的流量计比孔板流量计的长处
(1)孔板式流量计价格低廉,结构简单牢固,其性能稳定可靠,使用寿命长;
(2)其他类的流量计没有孔板式流量计应用广泛;
(3)节流元件与变送器、显示仪表能够由不同厂家生产。
2.2 缺点
(1)范围度窄,一般仅3:1~4:1
(2)现场安装条件要求高
(3)测量精度普遍偏低
(4)压损大(指孔板、喷嘴等)
3 差压式孔板流量计的正常使用条件
(1)工艺介质要持续的通过孔板流量计而且要充满导压管管,否则流量将无法测量。例如棒磨机给水流量无指示,仪表工到现场检查变送器打开排污有少量水流出,认为是导压管堵塞了,用氮气吹,发现是通的,仔细检查后发现节流元件安装在靠近出水口附近(常压),而且管道又再高处(距地面11m)水没有充满工艺管道。建议把孔板流量计移位,后来把孔板移到距地面7米左右的横管段,这时水能满管流量指示正常。
(2)被测介质在物理上和热力学上必须是均匀的单相流体。
(3)被测介质流经节流装置时不得发生相变;即使导压管内发生相变也不行。
(4)节流装置所测得被测介质必须是稳定流,或被测介质是稳定的缓慢变化的,不适用于脉动流和临界的流量测量。
(5)流束应与管道平行,不得有旋转流。
4 节流装置的安装
(1)节流元件与管道的中心线应尽可能垂直。
(2)节流元件孔板的中心线应该和工艺管道的中心线重合。
(3)节流装置上下游侧直管段长度的确定原则是:当施工图设计有明确规定时,应当按照设计规定执行;当施工图设计无具体规定,可按照节流件前后的直管段必需是直的,不得有肉眼可见的弯曲而且应该是润滑的,如不润滑,流量系数应乘以粗糙度修正系数。孔板前要求有10倍直径长度的直管段,孔板后要求有5倍直径的长度的直管段实施。
(4)安装在垂直管道上的标准节流装置的取压口位置要取在方便检修的方向上并且不得妨碍其他设备的检修和工艺的操作;在水平管道节流装置装的取压口的位置气体垂直向上两边45°以内。
液体水平向下45°,蒸汽水平向上45°。特殊情况下可以不按这样取压。例如灰水流量取压口可以不去水平向下45°,可以垂直向上取,这样一些固体杂质不容易沉淀到导压管里照成堵塞,安装图见图2。

图2 安装图
(5)被测介质有腐蚀性的话就得用耐腐蚀性的材料制造导压管,并且导压管压力等级要达到要求,普通介质导压管的倾斜度要大于等于1:12,测粘度高流体的流量时要加大导压管的倾斜度要;导压管的内径不要小于6mm,zui好它的长度在16m之内。导压管的长度要尽可能的短,当现场条件不允许近距离安装实际安装当长度大于30m时,要分段敷设,并在各zui高点安装排气阀,集气器;各zui低点安装排污阀,沉降器;正、负压导压管高度应该同样高,而且尽可能靠近敷设,易结晶或水等介质还需要配伴热保温。
(6)为防止运行时管内金属屑、氧化物、焊渣等损坏节流件,节流装置安装前管道一定要用高压蒸汽严格冲洗。
(7)不能用硬物擦试节流装置表面以免损伤节流元件。(8)为了不影响精度,吊装节流装置时,钢丝、铁丝、吊钩等物件不能穿入节流元件喉部孔径,以防止节流元件坡口损伤。
标准孔板流量计是将标准孔板与多参数差压变送器(或差压变送器、温度变送器及压力变送器)配套组成的高量程比差压流量装置,可测量气体、蒸汽、液体及天然气的流量,广泛应用于石油、化工、冶金、电力、供热、供水等领域的过程控制和测量。
在流量和蒸汽测量中孔板流量计是较为常用的流量计,广受市场上的好评,首次使用孔板流量计的企业中有很多对孔板流量计如何安装以及调试还比较陌生,下面我对孔板流量计的安装要求及如何调试做简要的介绍,希望对大家有所帮助。
一、孔板流量计安装基本要求:
(1)对于新设管路系统,必须先经扫线后再安装标准孔板,以防管内杂物堵塞或损伤标准孔板。
(2)安装前应仔细核对标准孔板的编号、位号、规格是否与管道情况、流量范围等参数相符。在取压口附近标有“+”的一端应与流体上游管段联接,标有“—”的一端应与流体下游管段联接。
(3)标准孔板的中心线应当与管道中心线同轴。
二、孔板流量计的安装对管道的要求:

(1)孔板流量计安装时应配有一段测量管,至少保持前10DN、后5DN的等径直管段,以提高测量精度。
(2)在孔板流量计前后若需安装阀门,***好选闸阀且在运行中全开;调节阀则应在下游5DN之后的管路中。
(3)引压管路的内径与管路长度和介质脏污程度有关,通常在45米以内用内径为8-12mm的管子。
(4)测量液体流量时引压管水平段应在同一水平面内。若是在垂直管道上安装节流件,引压短管之间相距一定的距离(垂线方向),这对差压变送器的零点有影响,应通过“零点迁移”来校正。
(5)引压管路应有牢固的支架托承,两根取压管路应尽可能互相*近并远离热源或震动源,测量水蒸汽流量时,应用保温材料一同包扎,必须时(如气温0℃以下)加伴热管防止结冰。在测量脏污流量时,应附设隔离器或沉降器。
(6)引压管路内必须始终保持单相流体状态。被测流体是气体时,引压管路(包括差压计的压力腔)内全部是气相;被测流体是液体时,引压管路内全部是液相,不能有气泡。为此应在引压管路的较低点装排水阀或在***高点装排气阀,在新装或检修差压变送器时时应特别注意。
三、孔板流量计调试方法:
(1)接上信号线、电源线
(2)开启进口、出口阀门,进出口阀门开度要一致
(3)打开不锈钢三阀组平衡阀,缓慢开启孔板高低压端的阀门,待流体通过流量计后关闭不锈钢三阀组平衡阀即可。
8 结 语
孔板计量瓦斯流量结构简单,成本低,计量稳定;但真正用好,做到长期准确计量,需要严格按照技术规范选型、安装、使用,同时要掌握准确的孔板系数,计算必须进行各种修正。管理上必须进行正常维护,定期清理孔板及管道内的积尘、杂物,对于容易积水的孔板位置,应安装自动放水器。定期进行孔板系数的验证。对于超过一定年限的孔板,应及时报废处理。因此应引起瓦斯抽采检测专业人员的高度重视。