楔式流量计_厂家价格
摘要:楔式流量计是一种新型的差压式流量计, 本文详细讲解了楔式流量计的原理及设计计算过程, 对于流量计生产企业的设计与制造, 用户的应用分析都有很强的指导意义。
楔式流量计是近年来开始广泛应用的一种新型节流装置, 在国外石油、化工等行业中已得到大量的应用。它的问世并被广泛应用是由于它的独特性能——在极宽的雷诺数范围内, 流量和差压始终保持方根关系。以往使用的节流装置如孔板、喷嘴和文丘里管等, 当雷诺数低至10000时, 它们所测得的流量与差压方根关系会出现重大的偏差, 而且随着雷诺数的降低, 偏差会越来越大, 致使测量精度受到严重的影响, 而楔式流量计在雷诺数从500到数百万的范围内, 流量和差压始终保持方根关系, 流量系数呈线性状态。

产品价格:
| 价格 | ¥ 350.00~8900.00元 |
| 起批量 | ≥1 台 |
规格型号:
| 加工定制 | 是 | 品牌 | 江苏/华云 | 型号 | LGX |
| 类型 | 标准节流装置 | 测量范围 | -0.1~6.4MPa | 测量精度 | ±1.0%~±1.5% |
| 公称压力 | -0.1~6.4MPa(Mpa) |
理论和实践证明, 楔式流量计非常适用于低雷诺数流体流量的测量, 尤其在测量高粘度流体、含固体颗粒流体、浆状流体时, 更具有其它节流装置无法比拟的优越性。
在已知工况条件下, 如何对楔式流量计进行设计计算, 选择合适的楔形比, 计算出准确的差压上限值, 对于差压变送器的选择, 流量计的测量精度有着非常重要的意义。

图1 楔式流量计基本结构图

图2 楔块结构图
1.1、楔块 (图2) 的技术要求:
(1) 一般情况下, 安装在管道内的楔块应与管道轴线同轴,
(2) 楔块的上、下游端面的表面粗糙度保证
(3) 顶部处要求有0.5的宽度, 不尖锐,
(4) 楔块上、下游端面保证90°夹角。
1.2 楔式流量计的安装要求:
(1) 楔式流量计安装时可不考虑介质流向。
(2) 楔式流量计在水平管道上安装时, 取压口应在管道水平中心线上45°范围内, 在垂直管道上安装时, 取压口的不同标高将会产生附加压头, 这应在变送器安装后, 靠重新调零来解决。
(3) 管嘴取压楔式流量计在测量高粘度、易结晶、结焦或含固体颗粒的流体时, 取压处应自伴热或外加伴热并设置隔离容器, 必要时引压管线可打充洗油。
(4) 楔式流量计的上、下游要带有一定长度的没有阻力件的直管段。
2、楔式流量计原理及设计计算分析:
基本原理:首先介绍一下楔式流量计的测量原理 (图3) , 与其它节流式流量仪表一样, 它也是根据伯努利方程, 利用流体在流动过程中遵守能量守恒定律 (即动能和静压能之和不变) , 流体通过起节流作用的楔块时流通面积减少, 流速增大, 静压降低, 从而在楔形块两侧产生压力差。流体流量与差压平方根成正比关系, 因此测得压差即可测得管道中的流量。

图3 楔式流量计原理图

图4 弓形面积计算
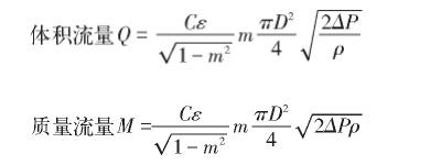
楔式流量计基本公式:
C——流出系数ε——可膨胀系数m——节流面积
s1——弓形流通面积 (图4) :
D——管道内径mΔP——差压Paρ——被测介质密度Kg/m3
楔式流量计差压计算:
1) 根据工艺管道公称直径、被测流体的流量及允许的压降损失等选择合适的楔比 (H/D) 及流量系数标称值A (楔式流量计参数表)
2) 根据所选的流量系数标称值A及查出的楔块膨胀系数Fa和气体膨胀系数Y, 按下列公式估算差压值。
3) 根据估算的差压值选择差压变送器的实际差压。
液体:

气体:

蒸汽:

符号说明:
A___流量系数标称值 (楔式流量计参数表)
Fa__楔块膨胀系数
ΔP__差压 (KPa) P____操作压力 (KPa) qv___液体流量 (m3/h)
q'v_
_气体流量 (Nm3/h, 标准状态0℃、101.325 KPa下气体体积流量)
qm____蒸汽流量 (kg/h) T____操作温度 (°K) t____操作温度 (℃)
Y____气体膨胀系数 (查表) v____蒸汽比容 (m3/kg) DN___公称直径 (mm)
DO____管道外径 (mm) D_____管道内径 (mm)
H_____楔式流量计弧形开口高度 (mm) H/D___楔比
差压计算举例:
已知:介质重油, 操作温度t=150℃, 操作压力P=1.5MPa, 操作密度ρ=900Kg/m3, 管道内径D=50mm, 外径D0=60mm, 流量范围3000~5000 kg/h, 刻度流量6000 kg/h, 楔块材质:304
设计计算: (1) 根据管道内径、流量范围等选择楔比H/D=0.2及流量系数标称值A=0.445
(2) 根据楔块材质及工作温度查出楔块膨胀系数Fa=1.0043。
(3) 将
, Fa=1.0043, A=0.445及流量值代入差压值计算公式 (1) 得出:

a) 一般只需计算刻度流量下的差压值即可
b) 根据计算结果ΔP刻度, 选择测量范围0~30.1KPa的差压变送器。
3、设计计算分析意义:
楔式流量计是非标准节流装置, 没有相应设计计算软件, 以上的设计计算分析实际上是构建了楔式流量计的理论计算模型, 对流量计生产企业的设计和生产提供了理论支持和计算依据, 对于用户的应用分析都有很强的指导意义。
楔式流量计是非标准节流装置, 产品设计出厂前仍然需要进行实流标定校准。
总之, 明确了楔式流量计原理及设计计算公式, 经过多年的生产实践证明, 楔式流量计非常适用于低雷诺数流体流量的测量, 尤其在测量高粘度流体、含固体颗粒流体、浆状流体时, 更具有其它节流装置无法比拟的优越性。
