原油容积式流量计 示值误差测量结果改正
本文针对体积管校准原油容积式流量计的示值误差的测量结果, 进行不确定度的分析及评定。
一、评定对象、方法及技术依据:
1.技术依据:JJG667-2010《液体容积式流量计检定规程》。
2.计量标准:体积管流量标准装置。
3.被测对象:一台DN80mm的刮板流量计。
4.测量方法:通过体积管对刮板流量计进行校准, 对每个流量点重复测量3次, 体积管的累积流量与流量计的累积流量进行对比, 得出流量计的平均示值误差和重复性。
二、测量模型:

式中:E——流量计的示值误差;N——一次检定过程流量计得到的脉冲数;K——传感器系数, 1/L;Qs——将标准器处的液体体积值换算到流量计条件下的累积流量值, L;D——体积管内径, mm;e——体积管壁厚, mm;Es——体积管弹性模量, Mpa;ts——检定时标准装置处液体的温度, ℃;ps——检定时标准器处的压力, MPa;pm——检定时流量计处液体的压力, MPa;βs——体积管膨胀系数, ℃-1;Vs——体积管标准值, L;k——检定用液体在检定条件下的体积压缩系数, MPa-1; (VCF20) s——体积管处温度下原油的体积修正系数; (VCF20) m——流量计处温度下原油的体积修正系数。
取一台DN80的刮板流量计, 对其进行校准, 以24m3/h为例进行不确定度评定, 校准数据如表1所示。
三、累积流量Qs的不确定度评定:

因为
, 所以, 在忽略合成方差u2 (Qs) 表示式中高阶项的情况下, 可得:


表1

1.标准器给出的体积值Vs引入的不确定度分量
体积管的不确定度U=0.05% (k=2) , 则标准不确定度
灵敏系数:

则u1=丨c1丨u (Vs) =0.2499L。
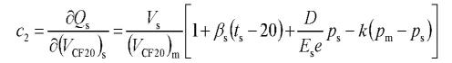
2.体积管处温度下原油的体积修正系数 (VCF20) s引入的不确定度分量
由于该系数是通过查表运算得出, 保留四位有效数字, 于是, 仅考虑数据修约引入的不确定度, 即其误差限为0.5×10-4, 于是标准不确定度为

灵敏系数:

则u2=丨c2丨u (VCF20) s=0.02958L。
3.流量计处温度下原油的体积修正系数 (VCF20) m引入的不确定度分量
由于该系数是通过查表运算得出, 于是, 仅考虑数据修约引入的不确定度, 即其误差限为0.5×10-4, 则其标准不确定度为

灵敏系数:

则u3=丨c3丨u (VCF20) m=0.02958L。
4.体积管体膨胀系数βs引入的不确定度分量
体积管的体膨胀系数βs=0.000033℃-1, 取自资料手册, 为一常数, 仅考虑由数字修约引入的不确定度分量, 即其误差限为0.0000005℃-1, 假定满足矩形分布, 则其标准不确定度为

灵敏系数:

则u4=丨c4丨u (βs) =0.008186L。
5.体积管处温度ts引入的不确定度分量
因为温度变送器为0.2级, 按矩形分布考虑, 则
灵敏系数:

则u5=丨c5丨丨V (ts) 丨0.001842L。
6.体积管弹性模量Es引入的不确定度分量
体积管的弹性模量Es=210000MPa, 取自资料手册, 为一常数, 仅考虑由数字修约引入的不确定度分量, 即其误差限为±0.5Pa, 假定满足矩形分布, 于是标准不确定度
灵敏系数:

则u6=丨c6丨u (Es) =0。
7.体积管处压力ps引入的不确定度分量
因为压力变送器为0.1级, 按矩形分布考虑, 则
灵敏系数:

则u7=丨c7丨u (ps) =0.0003117L。
8.流量计处压力pm引入的不确定度分量
因为压力变送器为0.1级, 按矩形分布考虑, 则
灵敏系数:

则u8=丨c8丨u (pm) =0.0002898L。
9.液体压缩系数k引入的不确定度分量
由于该系数是通过查表运算得出, 保留四位有效数字, 于是, 仅考虑数据修约引入的不确定度, 即其误差限为0.5×10-7, 于是标准不确定度为-7

灵敏系数:

则u9=丨c9丨u (k) ≈0。
10.体积管内径D引入的不确定度分量
体积管的内径D=200mm取自体积管的检定证书, 为一常数, 仅考虑由数字修约引入的不确定度分量, 即其误差限为±0.5mm, 假定满足矩形分布, 于是标准不确定度
灵敏系数:

则u10=丨c10丨u (D) =0.00009268L。
11.体积管壁厚e引入的不确定度分量
体积管的内径e=8mm取自体积管的检定证书, 为一常数, 仅考虑由数字修约引入的不确定度分量, 即其误差限为±0.5mm, 假定满足矩形分布, 于是标准不确定度u
灵敏系数:

则u11=丨c11丨u (e) =0.00001158L。
累积流量Qs的不确定度为

四、流量计单次示值误差的测量不确定度评定

式中:K——置入系数, 为20, 1/L。
1.光电脉冲发讯器引入的不确定度分量
光电脉冲发讯器的***大允许误差由校准证书得到, 1000个标准脉冲误差为±3个脉冲, 其相对误差为±0.03%, 估计为矩形分布, 则

则u12=丨c1丨u (N) =1.736×10-4。
2.由Qs引入的不确定度分量

则u13=丨c13丨uc (Qs) =2.543×10-4。
将u12和u13两者合成后, 得到示值误差的单次测量不确定度为

五、流量计重复性的不确定度:
流量计重复性由极差法计算, 单次测量的重复性为0.041%, 其平均值的实验标准偏差为

六、流量计平均示值误差的不确定度:
将单次测量示值误差的不确定度分量与重复性引入的不确定度分量进行合成, 得到流量计平均示值误差的合成标准不确定度为

扩展不确定度为
七、测量结果不确定度的报告与表示:
该刮板流量计在24m3/h流量点上测量结果示值误差为0.21%, 相对扩展不确定度为Urel=0.078%, k=2。
一、原油流量计概述:
AK-LC系列椭圆齿轮流量计(原油流量计)是计量流经管道内液体流量总和的容积式流量计,该仪表具有测量精度高,受液体粘度影响小,表前不需要安装直管段, 广泛用于石油、化工、医药卫生等油类及高粘度介质的累积流量测量。
二、测量原理

在仪表测量室进出两端液体压差的在作用下,一对椭圆齿轮在轴承上不停地转动并排出液体,测出椭圆齿轮的转数即可知道流经仪表液体的总值。设椭圆齿轮旋转一周排出的体积量Q,单位时间椭圆齿轮旋转次数为N,则在该时间内流过的液体体积量为NQ。

三、产品特点
◆ AK-LC-A型 铸铁椭圆齿轮流量计,广泛用于各种油品及对铸铁不腐蚀液体介质的计量。
◆ AK -LC-E型 铸钢椭圆齿轮流量计,用于高压、低腐蚀性介质的计量
◆ AK -LC-B型 不锈钢椭圆齿轮流量计,广泛用于有较强腐蚀性液体介质,如酸、碱、盐及有机化合 物等的计量
四、主要技术参数
★本安防爆: ExiaⅡCTSdⅡBT4
★连接方式: 法兰连接:DN10~DN200
★安装方式: 水平、垂直
★口径系列: DN10,15,20,25,40,50,80,100
★压力损失: ≤0.1MPa
★精度等级: 普通型0.5级,高精度0.2级
★介质压力: 普通型1.6MPa,高压型3.2MPa
★粘度范围: 普通型:0.6~200mpa.s,
高粘度200~1000mpa.s
★介质温度: 普通型<120℃,高压型<200℃
★表体材质: 铸铁、铸钢、不锈钢等
★转动部件: 铝合金、不锈钢等
五、测量范围及工作压力
|
型号 |
AK-LC-A铸铁 |
AK-LC-E铸钢 |
AK-LC-B不锈钢 |
||||
|
公称压力 Mpa |
1.0 1.6 |
2.5 4.0 6.4 |
1.0 1.6 |
||||
|
被测液体粘度 |
2 — 200 mPa.s |
||||||
|
被测液体温度 |
-20℃~+100℃ |
||||||
|
AOKE |
奥科公司经营标识 |
||||||||
|
基本型号 |
LC |
椭圆齿轮流量计基本型号 |
|||||||
|
口径选择 |
-□□ |
通径大小 |
|||||||
|
材料选择 |
-A |
铸铁 |
|||||||
|
-E |
铸钢 |
||||||||
|
-B |
不锈钢 |
||||||||
|
输出信号 |
-2 |
无信号输出 |
|||||||
|
-3 |
脉冲 DV24V供电 |
||||||||
|
-4 |
4~20mA DV24V供电 |
||||||||
|
复零功能 |
-N |
无复零功能 |
|||||||
|
-F |
复零功能 |
||||||||
|
过滤器 |
-N |
无过滤器 |
|||||||
|
-G |
含过滤器 |
||||||||
|
流量选择 |
(□~□) |
流量范围 |
|||||||
八、结论:
通过上述不确定度分析过程, 可以看出影响原油流量计测量结果的不确定度因素主要来源于标准器的不确定度和流量计的重复性。这就要求计量检定人员在平时工作中, 要保证标准装置计量性能的稳定, 定期做计量标准的重复性、稳定性等考核工作以监控其计量性能, 并且要定期对各项设备进行量值溯源, 使其对测量结果的不确定度影响降到***小, 保证测量结果的准确可靠。
