提高涡街流量计蒸汽计量精度应注意的问题
论述了涡街流量计用于蒸汽计量时选型、安装应注意的问题。对采用温度、压力补偿的方法进行了讨论。对温度、管径变化引起仪表常数变化所造成的测量误差进行了分析,指出了修正方法,并就有关蒸汽实际测量中的一些具体问题提出了讨论。
涡街流量计具有安装方便,测量范围宽,精度高,重复性好,维修简便等特点,广泛应用于蒸汽计量。基于涡街流量计的测量原理和蒸汽的特有性质,要实现准确计量,特别是对于贸易结算的表计,实际使用中还需注意以下问题。
1.流量计合理选型和安装是蒸汽准确计量的前提
1.1 流量计选型
原则是以流量选口径,但要满足以下两个条件。
1.1.1 管道雷诺数的要求
涡街流量计是通过检测流体经过旋涡发生体处产生的旋涡数(即旋涡频率)而求得一段时间间隔内流过的流体总量,如下式所示。

式中 f ——旋涡频率,Hz
St ——斯特罗哈常数
V ——管道中流体的速度,m/s d ——发生体柱宽,mm
D ——管道内径,mm
当雷诺数 Re 在 2Χ104~7Χ106 之间时,式中斯特罗哈尔数 St 基本为一常数,流量计获得的频率与流体的流速成正比关系,这是仪表的正常工作范围,超出这一范围,流量计的测量精度就会降低。当 Re
<5 000 时为测量死区。
1.1.2 蒸汽在管道流速的要求
由于涡街流量计是通过测量旋涡的释放频率达到测量流量目的的,所以流体的流速应有限制,不同的口径有不同的流速要求。一般型涡街流量计测量的技术指标是,管道通径为 DN15~300mm 时,测量
蒸汽的***大流速为 80 m/s(选型时常按***大流速的 0.8 选取)。流速过大易产生啸叫,并容易使涡街的传感器损坏。流速的下限要求是,保证测量的精度,当管道通径为 DN15~100 mm 时,***小流速一般取
3 m/s 或雷诺数为 20 000 时的流速的较大值;当管道通径为 DN150~300 mm 时,一般取 3 m/s 或雷诺数为 40 000 时的流速的较大值。
1.2 流量计安装
原则是保证直管段,避开振动源及电磁干扰。直管段具有整流的作用,保持一定的直管段就是保持蒸汽的在管道的流动状态。
1.2.1 测压口位置的安装选择
在贸易结算时一般按蒸汽的质量进行结算,要将蒸汽的体积流量换算成质量流量,必不可少的是测量出旋涡发生体处蒸汽静压力,此处静压力由于流速较高,比涡街流量计上游管道内蒸汽压力低一些。
若在此处准确地测量静压力,由于多种原因有一定困难。但在流量计下游一定距离的管道上,测量到能与发生体后面传感器处的静压相等或接近的静压,是一个可行的方法,也符合 GB/T 2624—1993 标准中4.4.1 条规定“流体的静压应在上游或下游取压口平面处测得”。一般合适的距离为从流量计下游法兰算起 2~7 倍管道内径。
1.2.2测温口位置的安装选择
GB/T2624—1993 标准中规定“流体温度***好在节流件下游测得”,“如温度计插孔或套管位于下游,它与节流件之间的距离等于或大于 5D”。测温口一般位于测压口下游的 1~2 倍管道内径处。
2.温度、压力自动补偿是蒸汽准确计量的保证
贸易结算中,蒸汽是按质量流量 Qm 计量的。对于涡街流量计来说,实际测得是体积流量 Qv ,再经过计算而得到质量流量,即:
Qmi= Qvi ρi
式中 Qmi ——单位时间的蒸汽质量流量,kg
Qvi ——单位时间的蒸汽体积流量,m3
ρi ——单位时间的蒸汽密度,kg/m3,与蒸汽的温度、压力有关其累计总量为:

2.1 饱和蒸汽的温度、压力补偿
饱和蒸汽采用温度补偿或压力补偿,在本质上是一样的。其原因在于饱和状态的蒸汽,其压力和温度之间呈单值函数关系,从蒸汽温度查出的密度同与此温度对应的压力查出的密度是一致的,即
ρ =f ( p) 或 ρ = f (t ) 。因此,采用温度补偿和压力补偿在原理上都是可行的。
饱和蒸汽采用温度补偿和压力补偿的比较
|
补偿方式 |
温度补偿 |
压力补偿 |
|
投资比较 |
投资较小。一只 Pt100 铂热电阻在 200 元左右。 |
投资较大。一只国产压力变送器在 1 500 元左右。 |
|
较低。在对应温度 144~170 ℃的饱和蒸汽测量 |
较高。一只精度 0.25 级 0~1.6 MPa 的压力变送器的 |
|
|
补偿精度 |
中,温度测量每差 1℃,引起的流量测量误差 |
测量***大误差为±4kPa,在对应压力 0.4~0.7 MPa 的 |
|
比较 |
达±2.8%~±2.4%左右。 |
饱 和 蒸 汽 测量 中 , 引 起的 流 量 测 量误 差 为 |
|
±1.0%~±0.5%左右。 |
||
|
因热的传递方式问题,温度测量滞后大,不能 |
压力测量不存在滞后问题。在安装没有问题的情况 |
|
|
测量中问题 |
实时准确测量蒸汽温度。当蒸汽参数变化较大 |
下,引起的流量测量误差仅由压力变送器的测量精 |
|
时以造成较大的测量误差。 |
度所致。 |
|
显然,压力补偿得到的补偿度比温度补偿高。由于上述原因,使得在测量饱和蒸汽质量流量时,仅仅测量压力,并据此查蒸汽密度表,进而计算质量流量,在实践中应用的较多。
2.1.2 饱和蒸汽的湿度问题
饱和蒸汽易凝结,在传输过程中如有热量损失,蒸汽中便有液滴或液雾形成。另外锅炉在正常工作中,锅炉汽包中的水处于沸腾状态,汽液之间不容易彻底分离。蒸汽中含有液相水珠的饱和蒸汽称为湿饱和蒸汽。表征湿饱和蒸汽的主要参数有压力(p)、温度(t)、密度(ρ)、比焓(h)、干度(x)或湿度(y),且有
如下关系:

式中 m1 ——湿蒸汽中汽的质量
m2 ——湿蒸汽中水珠的质量
m ——湿蒸汽中汽液的总质量
准确计量饱和蒸汽质量流量比较困难,因为饱和蒸汽的干度难以保证,蒸汽干度的波动也会引起流量计示值产生附加误差。必要时还应采取补偿措施,选用带有湿度补偿的流量积算仪,以实现准确的计量。
2.2 过热蒸汽的补偿
过热蒸汽是单相流体(x=100%)。过热蒸汽的温度和压力是两个互不相关的独立变量,过热蒸汽的密度由这两个参数决定,即 ρ = f(t , p) ,因此必须采用温度、压力的自动补偿。
例如某公司一用户流经流量计蒸汽参数为:压力 0.55 MPa、温度 165 ℃,为过热蒸汽,查表此时对应蒸汽的密度为 2.842 kg/m3。而在 0.55 MPa 压力下对应饱和蒸汽的密度查表为 2.918 kg/m3,在 165 ℃
温度下对应饱和蒸汽的密度查表为 3.671 kg/m3。
若按饱和蒸汽压力补偿,测量误差为 δmp =(2.918-2.842)/2.842=2.67%
若按饱和蒸汽温度补偿,测量误差为 δmt =(3.671-2.842)/2.842=29.17%
可以看出,如果涡街流量计不采用温度、压力自动补偿,又不能实时地检测蒸汽的密度,设定为饱和蒸汽补偿或只按密度不变的原则将密度定为常数,而在实际情况下,密度变化很大,致使蒸汽质量流量计量不准,一般误差高达 10%~30%。
3.提高蒸汽计量精度不可忽视的几个问题
3.1 温度变化的影响
涡街流量计及其旋涡发生体一般都为金属材料制作。金属固体在高温下具有热膨胀的特性。当温度变化较大时,发生体的柱体宽度和流量计的本体通径将随之变化,这将引起测量误差。K 系数可用下式进行修正。
Kt = [1? 4.81×10?5 (t ? t0 )]Km
式中 Kt ——流体温度为 t 时的流量系数,P/L
Km ——流体温度为 t0 时的平均流量系数,P/L t ——工作温度,℃ t0 ——校准温度,常取 15 ℃
3.2 管道内径引入的误差
与涡街流量计连接的管道,其内径与涡街流量计管内径完全一致的情况并不很多。当管道内径等于或略大于涡街流量计测量管内径时,流量示值稳定,流量系数正常。但当管道内径小于测量管内径时,流量示值出现强烈的噪声,这是因为流体流过截面积突变的管段时产生的二次流所致。在管径大于测量管内径时,也有二次流产生,只因二次流存在的部位在测量管之外,对仪表示值影响不明显。
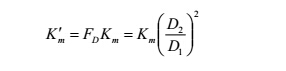
当管道内径小于测量管内径(3%以内)时虽然不会对仪表本身所固有的流量系数产生影响,但因截面积突变引起表观流速变化而可能产生附加测量误差。这时可通过修正流量系数时可通过修正流量系
数 K 来补偿,其修正后流量系数 K′ 为:

D1 ——流量计测量管实际内径
D2 —管道实际内径
3.3 对流量积算仪的要求
3.3.1流量积算仪时钟对流量累积的影响n
从公式 Qm = ∑Qmi ti = ∫0t Qmidt= ∫0t Qvi ρidt 可以看出,流量积算仪的时钟对累积流量有较大的影响,在贸易结算中要进行必要的修正。
3.3.2 作为贸易结算的流量积算仪应具备的功能
为减少蒸汽计量贸易纠纷,流量积算仪可增加以下功能:断电记忆功能,以此检查流量计断、送电时间;
② 用汽判断功能,由于涡街流量计易受振动的影响,可以根据温度、压力参数值可以判断管道内是否有蒸③汽流动和阀门是否内漏,消除用户在不用蒸汽时振动的影响。
小流量补足记录功能,当瞬时流量小于涡街流量计可测流量时,实现用户协议保底量的自动累积。
超流量加倍记录功能,当瞬时流量超过协议***大用汽量时,根据规定实现加倍计量的自动累积。
