三通管型分流分相式气液两相流体流量计
三通管的相分离特性:三通管是一种***简单的多通道元件,广泛应用于工业和民用管道系统中。它可以将主管流入的流体均匀地或按要求分配到两个支管中,也可以将两支管内的流体汇入主管中。对于单相流体,三通管的分配特性和阻力特性相对较为简单,每一支管所分配的流量多少完全取决于各自的阻力大小。而在两相流体中,三通管的分配特性就要复杂得多,除了流量分配外,还存在相的分配问题。

图2-1 T-型三通示意图
式中 X1—主管入口干度
X3—侧支管内的干度 G3—侧支管内的质量流速,Kg/m2s G1—主管入口质量流速,Kg/m2s
上式适用于空气—水两相流和蒸汽—水两相流。从式中可以看出,T型三通的相分离现象是十分严重的,几乎接近于完全相分离,即从主管流入的气体全部流进了侧支管,用公式来表示就是: 
为确定上述 G3的临界值,Seeger〖35〗了下面的计算式: 
三通型分流分相式气液两相流体流量计组成原理:
图 2-2 是三通管型气液两相流体流量计组成原理图。为了扩大测量范围,提高气体流量的测量精度,采用了三个相并联的三通管来分离气体。侧支管(3)的内径与主管(1)相同。侧支 管垂直布置并具有足够的高度。侧支管与集气管(5)之间通过一个小孔(4)相连通,该小孔的孔径小于侧支管内径的五分之一。小孔的作用在于增加阻力控制流量,同时也可以防止主管中一些尺寸较大的液滴冲入集气管内,另外还可以使上升气流在小孔前形成一个较强的自然旋涡,进一步分离气体携带的水分。节流孔板(9)的作用在于调节回路的阻力,改善分流系数的特性,以及调整流量计的测量范围。
图2-2 三通管型分流分相式两相流体流量计1. 2. 3. 4. 5. 6. 主管 直通支管 侧支管 小孔 集气管 气体测量管7. 8. 9.气体流量计 汇合三通 节流孔板
气液两相流体从主管(1)进入流量计,在三通管组内被分成两部分。一部分经过侧支管(3)和小孔(4)变成单相气体后进入集气管(5),再经气体测量管(6)和气体流量计(7)流入汇合三通(8)。称这一回路为分流体回路,这一部分气体为分流体。另一路经过直通支管(2)和节流孔板(9)流入汇合三通(8)与分流体汇合。称这一回路为主流体回路,这一部分两相流体为主流体。两股流体混合后从汇合三通流向下游管道。

根据质量守恒原理还可得到下列关系式: 
总分流系数 K 和气相分流系数 KG:
从图 2-2 可以看出,分流体回路和主流体回路之间为并联关系。根据并联回路的性质,分流体回路的总压降∆P3应等于主流体回路的总压降∆P2。依据这一关系就可推导出总分流系数 K 和气相分流系数 KG。

式中 ξ3—分流体回路的总阻力系数 A3—气体测量管的流通截面积,m2 V3—气体测量管内的气体流速,m/s
主流体回路的总压降∆P2主要由三通管的分配压降∆P21、流过孔板的压降∆P22、沿程阻力损失∆P23以及在汇合三通上的压降∆P24组成。其中∆P22所占比例***大,其余各项相对较小。因此,可以将主回路看作是一个以孔板为主的阻力件。
应用两相流理论中的分相模型【42】仿照林宗虎公式【57】的推导方法,可以导出主流体回路的两相流特性关系式:

式中 ξ2—主流体回路的总阻力系数 A2—主流体回路的流通截面积,m2
将式(2-11)和(2-12)代入式(2-10)并整理即可得到∆P2的计算式: 
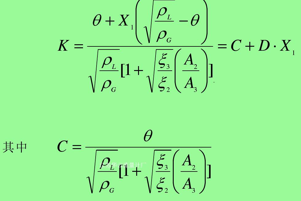
将式(2-6)、(2-8)代入式(2-13),并令式(2-13)和(2-9)的等号右边相等,就可得到总分流系数 K 的计算式: 

将式(2-14)代入式(2-5)即可得到气相分流系数 KG的计算式: 
在结构参数和两相流体的液相、气相密度比确定的情况下,系数 C、D均为常数。总分流系数 K 与被测两相流体的干度 X1成线性关系,而气相分流系数 KG与 X1的倒数成线性关系。
在两相流体的流量干度测量范围确定的情况下,可以根据式(2-15)和(2-16)设计合理的结构参数,以选配适当的气体流量计。
如果已知流量 M1或者能够通过其它方法测得流量 M1,就可以用式(2-4)计算出总分流系数 K,然后再应用式(2-14)计算出两相流体的干度 X1。总之,在应用三通型分流分相式气液两相流体流量计时,必须已知流量和干度中的一个参数,才能测量出另外一个参数。这说明该三通型分流分相式气液两相流体流量计是一种单参数两相流体流量计。
但与其它单参数气液两相流体流量计相比,三通管型分流分相式气液两相流体流量计中的气体流量计完全在单相流体的状态下工作。因此,它的***大优点在于工作可靠性高,流量计选型灵活,可以采用各种高精度宽量程比的气体流量计,如:涡街流量计、涡轮流量计、热式质量流量计等。
从而可以大幅度提高流量干度的测量精度和测量范围。
